Ihre Karriere bei der BG ETEM
Kontakt
DGUV Icon Sign Language
Gebärdensprache
DGUV Icon Easy Language
Leichte Sprache
Suchbegriff/Webcode
Suchen
DGUV_icons_ansprechperson_schwarz
Meine BG ETEM - Serviceportal
Suchbegriff/Webcode
Suchen
Links
Startseite
Kontakt
Gebärdensprache
Leichte Sprache
Ihre Karriere bei der BG ETEM
Meine BG ETEM - Serviceportal
Navigation
Zurück
Tampondruck
3D-Druck
Brancheninitiative
Mitgliedschaft & Beitrag
Sicherheit & Gesundheit
Unfall & Berufskrankheit
Menü
Startseite
Redaktion
Arbeitssicherheit/Gesundheitsschutz
Bilder
Brancheninformationen
Branchenbilder DP
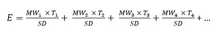
Formel
Formel
https://karriere.bgetem.de/portal/redaktion/arbeitssicherheit-gesundheitsschutz/bilder/brancheninformationen/branchenbilder-dp/formel.jpg/view
https://karriere.bgetem.de/portal/redaktion/arbeitssicherheit-gesundheitsschutz/bilder/brancheninformationen/branchenbilder-dp/formel.jpg/@@download/image/Formel.JPG
Formel
Letzte Änderung
: 06.05.2025
Click um das Bild in voller Größe anzuzeigen…
Größe: 12.6 KB
Download
Formel.JPG
Urheberrechte
Webcode: 23836326
Diesen Beitrag teilen
Diesen Beitrag teilen