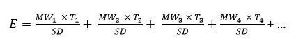
Zurück Formel