Illustrationstiefdruck (Toluol haltige Farben)
Im Illustrationstiefdruck werden Produkte, wie Kataloge, Zeitschriften und Prospekte, in hohen Auflagen mit Rollenrotations-Tiefdruckmaschinen hergestellt. Die verwendeten Druckfarben und Verschnitte enthalten als Lösemittel ausschließlich Toluol. Zur Einstellung der Viskosität wird zusätzlich Toluol benötigt. Auch als Reinigungsmittel und in Einzelfällen zur Verdünnung der Rollenkleber wird Toluol in geringen Mengen verwendet. Über Rückgewinnungsanlagen wird das im Druckprozess eingesetzte Toluol im Kreislauf geführt.
Im Illustrationstiefdruck ist eine regelmäßige Überprüfung der Wirksamkeit der Schutzmaßnahmen durch Messung der Konzentration von Toluol in der Luft am Arbeitsplatz erforderlich.
Eine geeignete Methode stellt die Messung mit Photoionisationsdetektoren (PID), als Messgerät für ionisierbare Verbindungen in der Luft dar. Eine regelmäßige Überprüfung der Geräte und die Einhaltung der Kalibrierintervalle entsprechend den Vorgaben der Hersteller sind zu beachten.
Es wird folgende Messstrategie festgelegt: Stationäre Messpunkte an der Druckmaschine werden in Anlehnung an die Norm DIN EN 13023 "Geräuschmessverfahren für Druck- und Papierverarbeitungs-, Papierherstellungs- und Ausrüstungsmaschinen" wie folgt ausgewählt:
- Hauptsteuerpult: Mitte Steuerpult; 0,5 m vor Steuerpult
- Abrollung: 0,5 m seitlich der Abrollung am Hauptaufenthaltsort des Mitarbeiters am Rollenstern
- Auslage: Hauptaufenthaltsort des Mitarbeiters an der Auslage (Speicherrolle, Stangenbildner, Päckchenbildner)
- Druckwerk: seitlich an der Maschine, nach gelbem Farbwerk, oberhalb des gelben Farbkastens (Messwert repräsentiert die gesamte Aufenthaltszeit innerhalb der Druckmaschine).
Siehe DIN EN 13023
Im Rahmen von Vergleichsmessungen konnte gezeigt werden, dass die Toluolkonzentrationen an den einzelnen Messpunkten relativ konstant sind. Es kann daher davon ausgegangen werden, dass bei einer Mittelung über 15 Minuten ein für den jeweiligen Messort repräsentativer Messwert erhalten wird.
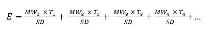
Für die verschiedenen Tätigkeiten (Drucker, Druckerhelfer, Helfer an der Auslage, Rolleur) sind die mittleren Aufenthaltszeiten an den genannten Messpunkten zu ermitteln. Die resultierende Exposition berechnet sich danach wie folgt:

E = Exposition
MW = Messwert
T = Aufenthaltszeit
SD = Schichtdauer.
Die Summe der Aufenthaltszeiten muss dabei der Schichtlänge von in der Regel 480 Minuten, abzüglich der Zeiten außerhalb der Arbeitsräume, entsprechen. In Reinigungsbereichen wird die Exposition tätigkeitsbezogen direkt am Arbeitsplatz ermittelt.
Spitzenexpositionen werden ebenfalls durch stationäre Messung über 15 Minuten bestimmt. Der gemittelte Messwert darf dabei das doppelte des Grenzwertes (= 100 ppm bzw. 380 mg/m3) nicht überschreiten.
Die zeitlichen Abstände der Wirksamkeitsüberprüfung werden entsprechend der Technischen Regeln für Gefahrstoffe TRGS 402 "Ermitteln und Beurteilen der Gefährdungen bei Tätigkeiten mit Gefahrstoffen: Inhalative Exposition" in der Gefährdungsbeurteilung festgelegt. Liegen die Messergebnisse oberhalb der bisherigen Werte, kann dies ein Hinweis auf eine verminderte Wirksamkeit der Schutzmaßnahmen sein.
- Webcode: 23710484
Diesen Beitrag teilen